Niet afgesloten investeringen van voorgaande jaren
Niet afgesloten investeringen van voorgaande jaren
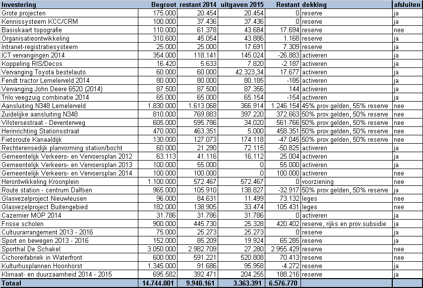
Onderstaand is een overzicht opgenomen van de niet afgesloten investeringen van voorgaande jaren. Per investering wordt de voortgang beschreven na 12 maanden van dit jaar.

Grote projecten
WOC Campus Nieuwleusen voor het Kulturhusconcept Nieuwleusen (voorheen Kulturhus de Schakel) is het laatste project van de grote projecten. Hiervoor zijn middelen beschikbaar gesteld. Dit (oude) krediet wordt nu afgesloten.
Kennissysteem KCC/CRM
De resterende gelden zijn dit jaar besteed. Krediet wordt afgesloten.
Basiskaart topografie
Op 1 januari 2016 is de Wet basisregistratie grootschalige topografie (BGT) inwerking getreden. Landelijk ondervindt de opbouw en assemblage van de BGT aanmerkelijke vertraging. Het SVB-BGT (regiehouder) streeft er nu naar dat medio 2016 alle bronhouders op de Landelijke Voorziening zijn aangesloten. Ook Dalfsen ondervindt de complexiteit (in hoofdzaak afstemmingsproblematiek met andere bronhouders) van deze basisregistratie. Dalfsen zal hoogstwaarschijnlijk in het 1e kwartaal 2016 aansluiten.
Organisatieontwikkeling
Het budget organisatieontwikkeling heeft een restant van € 1.000 en wordt, zoals reeds bij de tweede bestuursrapportage gemeld, afgesloten.
Intranet-registratiesysteem
Intranet maakt onderdeel uit van Sharepoint. Intranet als onderdeel van Sharepoint is aangeschaft en wordt in de eerste helft van 2016 geintroduceerd. Het krediet wordt afgesloten.
ICT vervangingen 2014
In deze investering is destijds geen rekening gehouden met de verrekening van uren op de investering.
Door de toerekening van uren vindt er een overschrijding plaats op deze investering. Het krediet wordt afgesloten.
Koppeling RIS/Decos
De koppeling is gerealiseerd. Het krediet wordt afgesloten.
Vervanging Toyota bestelauto
Voertuig is aangeschaft. Er is gekozen voor een voertuig met een groter laadvermogen. Als gevolg daarvan wordt geen BPM opgelegd. Wel dient de chauffeur over een C1 rijbewijs te beschikken. Het krediet wordt afgesloten.
Fendt tractor Lemelerveld 2014
Voertuig is aangeschaft. Het krediet wordt afgesloten.
Vervanging John Deere 6520 (2014)
Voertuig is aangeschaft. Het krediet wordt afgesloten.
Trilo veegzuig combinatie 2014
Voertuig is aangeschaft. Het krediet wordt afgesloten.
Aansluiting N348 Lemelerveld
Bestemmingsplan noordelijke aansluiting is afgerond. Planvorming loopt door in samenwerking met provincie en volgens hun planning.
Zuidelijke aansluiting N348
Voor de aankoop van de ontsluitingsweg langs het bedrijventerrein zijn drie aankopen nodig. Twee ervan zijn afgerond, de laatste volgt in 2016, evenals de bestemmingsplanwijziging. Planvorming loopt door.
Vilstersestraat - Deventerweg
Planvorming loopt door, in 2016 is de aanleg.
Herinrichting Stationsstraat
Kan worden uitgevoerd als noordelijke en zuidelijke aansluiting gereed zijn. Planvorming loopt door.
Fietsroute Kanaaldijk
Grotendeels uitgevoerd, afronding in 2016.
Rechterensedijk planvorming station/bocht
Planvorming is dit najaar versneld doordat uw raad twee stappen uit het besluitvormingsproces in één keer heeft gezet, waarbij de keuze is gemaakt voor een erftoegangsweg met passeerstroken. In februari 2016 volgt de laatste keuzestap: passeerstroken aan één of aan twee zijden van de Rechterensedijk. Krediet wordt afgesloten. Dekking aanpassing Rechterensedijk uit GVVP.
Gemeentelijk Verkeers- en Vervoersplan 2012 - 2014
Van de uitvoeringsprogramma’s 2013 - 2015 zijn de onderdelen parkeeronderzoek, planvorming N-wegen, Aktieplan verkeersveiligheid en optimalisatie Duurzaam Veilig uitgevoerd. De stand van zaken van de N348 projecten, route Station centrum Dalfsen, Rechterensedijk en van het Kroonplein staat apart in dit document vermeld. Het opstellen van het nieuwe GVVP inclusief uitvoeringsprogramma 2016 - 2020 is in 2015 opgestart. Ambitiedocument is klaar, beleidsdeel is in ontwikkeling, na raadpleging van een externe klankbordgroep. Voor het Uitvoeringsprogramma volgt ook een raadpleging van die groep, voorafgaand aan formele inspraak. Vaststelling in 2016.
Herontwikkeling Kroonplein
In juni 2015 heeft de aanbesteding plaatsgehad voor de herinrichting van het bovenvlak. Dit werk wordt momenteel uitgevoerd. Zoals genoemd bestaat het centrumplan (bovenvlak) uit 2 percelen
- Perceel 1 betreft de herinrichting van het Kroonplein, de Kerkstraat en Dorpsstraat. Dit werk voert momenteel een aannemerscombinatie uit. Dit perceel is met de plaatsing van de lichtmasten in januari 2016 volledig gerealiseerd. De reconstructie overkluizing ter hoogte van de Burgstraat tegenover zaal Reimink is eveneens afgerond.
- Perceel 2 betreft de herinrichting van de kanaalzone tussen Kroonplein en de Sukerbietenbrug, inclusief de verdere inpassing van deze brug zelf (de poeren onder de brug) in de openbare ruimte rondom het Overijssels Kanaal. Deze herinrichting bestaat uit de realisatie van een kademuur langs de zuidzijde van het kanaal en een beschoeiing aan de noordzijde. Daarnaast wordt de Brugstraat heringericht als fietsstraat en fietspad (dit valt niet onder deze subsidiebeschikking; wel onder de BDU regeling) en tussen dit fietspad en de kade wordt een promenade ingericht. Planning voor uitvoering van perceel 2 is: aanbesteding januari 2016; uitvoering voorjaar 2016, gereed juli 2016.
Route station - centrum Dalfsen
Rotonde is aangelegd inclusief fietsvoorzieningen. Verlichting en kabels en leidingen zijn ook klaar. Eindafrekening inclusief BDU-subsidie provincie volgt in 2016.
Glasvezelproject Nieuwleusen
In november hebt u een principe besluit genomen om onder voorwaarden bereid te zijn Nieuwleusen Synergie een garantstelling te verlenen voor de realisatie van een breedbandnetwerk in de kern en het buitengebied van Nieuwleusen. Nieuwleusen Synergie werkt in samenwerking met de gemeente aan de exacte invulling van de randvoorwaarden om tot garantstelling te kunnen overgaan. Om een garantstelling te mogen verstrekken moet o.a. worden voldaan aan het Europese Staatsteunkader. De voorbereidingen voor een marktverkenningsprocedure om te kijken of er marktpartijen geïnteresseerd zijn om binnen 3 jaar een breedbandnetwerk te realiseren zijn gestart. Indien er geen marktpartij bereid is om een netwerk te realiseren (wit gebied) kan garantstelling binnen het staatsteunkader worden verstrekt.
Glasvezelproject Buitengebied
Stichting Breedband internet buitengebied Dalfsen heeft in september 2015 samen met Vechtdal Breed (Ommen) overeenstemming bereikt met CIF (Rabobank Bouwfonds Communication Infrastructure Fund) over de realisatie van breedband in het buitengebied. Hierbij wordt CIF eigenaar van het netwerk. De stichting krijgt een rol in de vraagbundelingsprocedure. Wij het initiatief genomen om te onderzoeken of het mogelijk was om vanuit collectiviteit vanuit negen gemeenten (Ommen, Deventer, Wijhe-Olst, Raalte, Hengelo, Haaksbergen, Enschede, Losser en Dalfsen) te komen tot een gezamenlijk convenant met CIF over een totaalpakket van randvoorwaarden. De onderhandeling met CIF over het collectief convenant zijn afgerond. In het convenant zijn afspraken gemaakt over randvoorwaarden voor de realisatie van het breedbandnetwerk. De gemeente-specifieke voorwaarden worden nader uitgewerkt.
Cazemier MOP 2014
Afrekening heeft plaatsgevonden. Het krediet wordt afgesloten.
Frisse scholen
De kosten van OBS Heidepark van ruim € 15.000 zijn ten laste van de reserve gebracht.
Hiermee is het project afgerond en wordt afgesloten.
Cultuurarrangement 2013 - 2016
Zoals gemeld in de voortgangsrapportage vindt verdere voortgang uitvoering cultuurarrangement plaats. Dekking vindt plaats via provinciale gelden.
Sport en bewegen 2013 - 2016
Door het structureel opnemen van de combinatiefuncties in de gemeentebegroting vanaf 2015 komt een bedrag van € 65.000 (€ 58.000 uit krediet voorgaande jaren en € 7.000 uit krediet 2015) te vervallen. Het restantbedrag van € 8.000 wordt meegenomen naar 2016.
Kulturhusconcept Nieuwleusen
In 2015 is een onderzoek uitgevoerd (fase 1, WOC Campus Nieuwleusen) naar ontwikkelingen van het Kulturhusconcept Nieuwleusen. De eerste stappen richten zich op de verbouw van het voormalige Rabokantoor tot Kulturhus en de nieuwbouw van de sporthal De Schakel. In oktober heeft uw raad hiervoor (aanvullend) krediet beschikbaar gesteld. In 2016 wordt fase 2 (programma van eisen en ontwerp) uitgevoerd. De uitkomsten worden eind 2016 voor een go-/nogo-besluit aan uw raad voorgelegd. Ook staat 2016 in het teken van het haalbaarheidsonderzoek onderwijs voor de beantwoording van de vraag of, en zo ja in welke mate, het voortgezet onderwijs en het basisonderwijs deel gaan uitmaken van de realisering van het Kulturhusconcept Nieuwleusen.
Cichoreifabriek in Waterfront
Het ontwerp van de Cichoreifabriek is gereed. De omgevingsvergunning is afgegeven. De sloop van het pand (inclusief de voorgevel) is gerealiseerd. De bouw is gestart vanaf 2 januari 2016. De verwachting is dat het gebouw in oktober 2016 wordt opgeleverd gereed voor gebruik. De openbare omgeving rond het gebouw (inclusief Koninginnenplein) is medio 2016 gereed voor gebruik.
Kulturhusplannen Hoonhorst
Na de opening van de Potstal als onderdeel van het Kulturhusconcept in Hoonhorst op 4 juli 2014, heeft inmiddels ook de financiële afrekening plaatsgevonden. Het krediet kan worden afgesloten.
Klimaat- en duurzaamheid 2014 - 2015
Het investeringsbudget voor Klimaat en Duurzaamheid 2014-2015 is afgesloten. De claims/restanten vanuit het Meerjarenprogramma Duurzaamheid 2014-2015 zijn teruggevloeid naar de reserve Milieu, met uitzondering van claims voor het installeren van een hout-cv bij de beide zwembaden (€ 30.000) en de energetische renovatie van de Cichoreifabriek en de Witte Villa € 120.000). Deze gelden worden in 2016 en 2017 uitgegeven.